Приложение Г.
введение
Область применения
Нормативные ссылки
Общие положения
Трубы, соединительные детали и другие материалы
Особенности проектирования наружных газопроводов из полиэтиленовых труб
Строительство
Реконструкция
Контроль качества работ общие положения
Испытания и приемка газопроводов
Приложение А. Полиэтиленовые газовые трубы, соединительные элементы и их производители
Приложение Б. Маркировка полиэтиленовых профилированных труб
Приложение В. Буквенные обозначения величин и единицы их измерения, принятые в расчетах на прочность и устойчивость
ПРИЛОЖЕНИЕ Г
ПРИМЕРЫ РАСЧЕТА НА ПРОЧНОСТЬ И УСТОЙЧИВОСТЬ
1 Определение необходимой величины балластировки
1.1 Балластировка пригрузами
ИСХОДНЫЕ ДАННЫЕ.
Газопровод диаметром de=0,225 м; материал ПЭ 80, SDR 17,6; рабочее давление p=0,3 МПа; температура эксплуатации - 0 °С; температурный перепад Δ t=-20 °С; проектируемый срок эксплуатации - 50 лет; радиус упругого изгиба газопровода ρ =13,5 м; угол поворота оси газопровода β =0,262 рад.; вес одного пригруза Qпр=4000 Н; плотность материала пригруза ρв=2400 кг/м3 ; плотность воды с учетом растворенных в ней солей ρw=1040 кг/м 3.
Определяем величины E(te),qw ,qизг и qq соответственно по графику на рисунке 3 и формулам (6), (13) и (3).
В нашем случае
МПА
значит, при температуре эксплуатации 0 °С E(te)=330 МПа;
Нм
Нм
Нм
Расстояние между пригрузами согласно условиям (11) и (12) должно быть:
м
м
согласно требованиям 5.68 принимаем lпр=3,8 м.
1.2 Балластировка грунтом обратной засыпки, закрепляемым НСМ
ИСХОДНЫЕ ДАННЫЕ.
По газопроводу - такие же, как в примере 1.1, по грунту: грунт - песок средней крупности; плотность частиц грунта pгр=2040 кг/м 3; удельное сцепление грунта засыпки Cгр=3000 Н/м 2; коэффициент пористости грунта засыпки e=0,45; угол внутреннего трения грунта φ=40°. Определяем величины qгр,a ,b и c для формулы (15):




Необходимая высота грунта, закрепляемого НСМ, согласно формуле (15) должна быть:
м
На основании 5.70 глубина заложения газопровода в данном случае определяется требованиями подраздела "Подземные газопроводы" СНиП 42-01. Схема его балластировки приведена на рисунке Г.1.
![]() |
1 - газопровод; 2 - нетканый синтетический материал (НСМ); 3 - грунт; 4 - траншея
Рисунок Г.1 - Схема балластировки газопровода
2 Определение величины овализации газопровода и устойчивости круглой формы поперечного сечения
ИСХОДНЫЕ ДАННЫЕ.
Газопровод диаметром de =0,225 м; материал ПЭ 80; SDR 11; рабочее давление p=0,3 МПа; температура эксплуатации - 0 °С; проектируемый срок эксплуатации - 50 лет; глубина заложения hm =1,0 м; укладка - на плоское основание; ширина траншеи B=1 м; грунт - суглинок; плотность грунта ρ=2000 кг/м 3 ; модуль деформации грунта засыпки Eгр=3 МПа; высота столба грунтовых вод над верхней образующей газопровода hw=1,0 м; плотность воды с учетом растворенных в ней солей ρw=1040 кг/м ; интенсивность нагрузки на поверхности грунта qw=5000 Н/м ; нагрузка от транспортных средств - нерегулярное движение автотранспорта согласно рисунку 7, qт=25000 Н/м .
2.1 Определение величины овализации
Определяем параметр жесткости сечения газопровода по формуле (18) и полную погонную эквивалентную нагрузку по формуле (17).
Для определения величины D по графику на рисунке 3 определяем E(te) . В нашем случае
МПа
значит, при температуре эксплуатации 0 °С E(te)=400 МПа, тогда:
Мпа

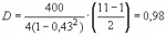
Величина овализации по формуле (16) равна:

следовательно, условие обеспечения допустимой величины овализации соблюдается. 2.2 Обеспечение устойчивости круглой формы поперечного сечения Определяем по формулам (25), (26) критические величины внешнего давления:
МПа
МПа
Согласно условию (24) имеем:
<1,2МПа
следовательно, условие обеспечения устойчивости круглой формы поперечного сечения соблюдается
Приложение Д. Параметры технологического режима стыковой сварки нагретым инструментом труб и деталей из полиэтилена
Приложение Е. Машины (установки) для стыковой сварки труб из полиэтилена нагретым инструментом
Приложение Ж. Аппараты для сварки полиэтиленовых труб деталями с закладными нагревателями
Приложение И. Источники питания для сварочной техники (мини-электростанции)
Приложение К. Разъемные соединения "полиэтилен-сталь на плоских фланцах
Приложение Л. Монтажные котлованы с несанируемым участком (катушка,тройник, отвод) газопровода
Приложение М. Порядок оформления контрольных образцов
Приложение Н. Методика определения внешнего вида и размеров сварных соединений
Приложение П. Методика испытаний сварных соединений на осевое растяжение
Приложение Р. Методика ультразвукового контроля сварных соединений
Приложение С. Критерии оценки качества группы дефектов (Извлечение из методики ультразвукового контроля качества сварных стыковых соединений полиэтиленовых газопроводов АО "ВНИИСТ")
Приложение Т. Методика испытаний сварных муфтовых соединений на сплющивание
Приложение У. Методика испытаний седловых отводов на отрыв
Приложение Ф. Методика испытаний стыковых соединений на статический изгиб
Приложение X. Методика испытаний сварных соединений на стойкость к постоянному внутреннему давлению
Приложение Ц. Методика испытаний сварных соединений на длительное растяжение
Приложение Ш. Методика испытаний сварных соединений на стойкость к удару
